PROBABILIDAD
La probabilidad es una medida de la posibilidad de que ocurra un evento, expresada como un número entre 0 y 1 o como un porcentaje entre 0% y 100%
Espacio muestral: Es el conjunto de posibles resultados de un evento aleatorio

Probabilidad clásica

Reglas de probabilidad
Principio multiplicativo
Se refiere al número total de datos para dar un resultado.
Principio aditivo
Se refiere a la probabilidad de un evento que tiene maneras distintas de realizarse.
Reglas de conteo
Combinaciones y permutaciones
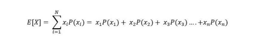
Esperanza matemática
Esperanza matemática
Se calcula utilizando la probabilidad de cada suceso utilizando la siguiente fórmula:

Donde:
X es el valor del suceso.
P probabilidad de que ocurra
i el periodo en el que se da dicho suceso
N número total de periodos u observaciones